Index

Abstract

Ultrasonic pulse velocity test is non-destructive and relatively simple to carry out at both in-situ and laboratory conditions. The sonic velocity (SV) test has been used to determine the dynamic properties of rocks in different applications of rock and geotechnical engineering. In the laboratory conditions, the SV tests determine the velocity of propagation of elastic waves through the rock samples. The velocities of P (Vp) and S (Vs) waves are calculated from the measured travel times and distance between transmitter and receiver. The SV values of rocks are influenced and controlled by different factors such as rock type, density, grain size and shape, etc. This study focuses on the possible dimensional, sample diameter and sample length to sample diameter ratio, effect on the mean Vp, mean dynamic elastic modulus, Ed, mean shear modulus, Gd, mean Poisson’s ratio, υd and mean dry density, ρ. For sample preparation and the SV tests, the representative rock blocks of Upper Eocene-aged limestone, Dammam Formation, is collected from Jabal Hafeet in Al Ain City, United Arab Emirates (UAE) and taken to the laboratory. Forty-nine SV tests was carried out on the prepared core samples having different dimensions. The study reveals that the Vp, Ed, Gd, υd and ρ of limestone can be estimated using the simple linear mathematical equations. Even though the obtained equations are useful and practical, but it still needs better ratification with more samples having different dimensions in order to use confidently in engineering applications.

Keywords: Ultrasonic velocity test, Dynamic properties of rocks, Dammam formation, P-Wave, Limestone, Jabal hafit.

Received: 4 October 2016 / Revised: 19 October 2016 / Accepted:27 October 2016/ Published: 3 November 2016

Contribution/ Originality

This study is one of very few studies which have investigated the dynamic properties of Upper Eocene limestone in the Hafit mountain, a prominent feature located in the eastern region of United Arab Emirates and it focuses on the possible dimensional effect on the ultrasonic pulse velocity.

1. INTRODUCTION

Due to the simplicity and non-destructive features of the sonic velocity (SV) test, the dynamic properties of rocks have progressively been determined and characterized in situ and laboratory conditions by the SV test for many years in different engineering applications and practices. Number of researchers (Kahraman, 2001; Kahraman, 2002; Yasar and Erdogan, 2004; Kilic, 2006; Khandelwal and Ranjith, 2010; Fener, 2011; Rahmouni et al., 2013; Zulfahmi, 2013; Arman et al., 2014; Parent et al., 2015; Arman et al., 2016) have already studied the possible relationships between rock properties and SV values and found that SV values are somehow related with rock properties.

In laboratory conditions, the SV tests determine the velocity of propagation of elastic waves through the rock samples. The P (Vp) and S (Vs) waves velocities are calculated from the measured travel times and distance between transmitter (emitter) and receiver. The Pundit ultrasonic instrument that has a pulse generator, transducers, and an electronic counter for time interval was used to measure a SV index value (Fig. 1).

Fig-1. Schematic diagram of ultrasonic velocity measuring equipment (pundit)

P-wave velocity of a rock is closely associated to the intact rock properties and measuring the velocity in the rock media cross-examines the rock structure and texture (Kahraman, 2001; Yasar and Erdogan, 2004; Khandelwal and Ranjith, 2010) . There are number of factors that influence the SV of rocks. These are; rock type, density, mineralogical composition, porosity, temperature, grain size and shape, anisotropy, confining pressure, rock texture and structure, porewater, weathering and alteration zones, bedding planes and joint properties, including  roughness, filling material, water, dip and strike.

In this study, Vp measurements were carried on limestone core samples with different dimensions, diameter and sample length to sample diameter ratio. Limestone differ in their chemical composition and physical structure. The different types of limestone show a large variation during the chemical reactivity because of their differences in crystalline structure and the impurities such as manganese, silica, iron, magnesium, sodium and potassium (Kilic, 2006). The objective of the study is to determine the effect of the sample dimensions, sample diameter and sample length to sample diameter ratio, on the mean (Vp), mean dynamic elastic modulus (Ed), mean shear modulus (Gd), mean Poisson’s ratio (υd) and mean dry density, (ρ).

2. STUDY AREA, GEOLOGY AND ROCK DESCRIPTION

The study area lies close to Jabel Hafeet (Hafeet Mountain) which is about 29 km long, 5 km wide with maximum elevation about 1240 m above sea level and it lies on southeast of Al-Ain city which is situated in the eastern part of Abu Dhabi Emirate, UAE (Boukhary et al., 2002).  The Hafeet Mountain is a huge double plunging with unique structural geology, highly asymmetric anticline that is developed over two large thrust fault underlying on its eastern and western limbs. It is classified into three main rock units that are composed of different types of carbonate rocks (Fig. 2). The oldest rock unit is the Rus Formation (Early Eocene 55-49 Myr) followed by Dammam Formation (Middle to Late Eocene 49-34 Myr) and then overlain by the third rock unit, which is the Asmari Formation (Early Oligocene 34-29 Myr) (Arman et al., 2013).

Fig-2. Location and geological map of the study area (modified from Arman et al. (2013)).

The Dammam Formation is widely exposed around the western periphery of the northern Oman Mountains and is divided into three members in eastern UAE; Mezyad Member, Ain Al Faydah Member (Eastern limb) and Wadi Al Nahyan Member (Boukhary et al., 2002). It is about 600 m thick and consists of tan to light colored limestone with interbeds of shale in lower part and marl in upper part (Arman et al., 2013). This formation consists of buff to grey weathered medium-grained fossiliferous, nummulites rich limestone interbedded with yellow marl of Middle – Upper Eocene age at its type of locality in Ain Al Faydah Member (Boukhary et al., 2005).

3. SAMPLE PREPARATION AND EXPERIMENTAL STUDY

Three locations of limestone outcrops were selected to collect the representative rock block samples from Upper Dammam Formation, Jabel Hafeet Mountain (Fig. 2). In order to eliminate any anisotropic effects on the measurements, the rock block samples having no bedding planes were selected and collected (Fig 3). The rock block samples were brought to the laboratory and then core samples (49 core samples) were prepared (Fig. 3). After smoothing both sides of the core samples by trimming, the core samples with different diameters were labelled as UD1, UD1.5 and UD2 according to the core bit diameter, which are 25.4, 38.1 and 50.8 mm in diameter (Figs. 3 and 4). Before start testing, all core samples were weighted and their dimensions, diameter and length, were measured.

Fig-3. Sample collection and preparation (drilling, trimming and measurement).

Fig-4. Core samples prepared and used in SV tests.

The pundit lab pulse generator unit control and two transducers of diameter 25.4 mm and frequency 250 kHz were used to test the core samples under dry condition (laboratory condition) with reference to Brown (1981) or ASTM Standard (1978) standards, in order to control the environmental factors such as temperature, moisture and humidity that affect the ultrasonic index value (Brown, 1981). The surface area under each transducer should be sufficiently plane to provide a good coupling as suggested by ISRM standard (Brown, 1981). The lateral minimum dimension is recommended by ISRM should not be less than 10 times the wave length. On the other hand, the ASTM standard specifies that the lateral minimum dimension should be at least 5 times the wave length (ASTM Standard, 1978). Consequently, the true dilational wave velocity can be measured. As the Proceq, which is the manufacturer of the pundit lab pulse generator, states, the minimum lateral dimension is 15 mm. In the study, the minimum lateral diameter of the sample is 25.4 mm and the minimum vertical sample length is 40.9 mm, which would be adequate for ASTM Standard (1978) rather than (Brown, 1981) standard. The other important factor affecting the ultrasonic velocity is the average grain size of the rock. Both ISRM and ASTM standards suggest that the travel distance of the pulse though the rock should be at least 10 times the average grain size so that an accurate average propagation velocity could be determined. The rock used in this study is limestone, which has a fine grain size and satisfy the standards.

In this study, the direct method was used to measure the Vp. The transducers are pressed to the center of the plane normal to the direction of the wave propagation as described in standard (Brown, 1981) (Fig. 1). Energy transmission between the transducer and test specimen can be improved by coupling the transducers element to end planes by a thin film of couplant SWC shear gel.

4. RESULTS AND DISCUSSIONS

Table 1 shows the test results and basic test statistics. The difference between maximum and minimum SV of Vp and Vs is quite high. According to the SV classification (Anon, 1979a) the measured SV values are in very high category. A number of researchers (Sadeghi and Khosravi, 2003; Kahraman and Yeken, 2008; Arman et al., 2014) and (Mavko, 2001; Yasar and Erdogan, 2004; Kahraman et al., 2007) have found that the SV values for limestone from different origin and location ranges from very low to very high velocity (2.9–6.3 km/s). There are basically two possible reasons to get very high velocity in this study. One is either human or computational errors, and second is a number of factors that highly influence the seismic properties of the Upper Eocene limestone. As indicated in previous sections, all tests were conducted in accordance with the related standards. The test results were carefully checked and no errors were found. Then, it may be possible to say that the seismic properties of the Upper Eocene limestone were mainly controlled by other factors such as rock type, density, grain size and shape, etc. (Sadeghi and Khosravi, 2003; Kahraman and Yeken, 2008) and (Blum, 1997; Mavko, 2001; Yasar and Erdogan, 2004; Kahraman et al., 2007) .

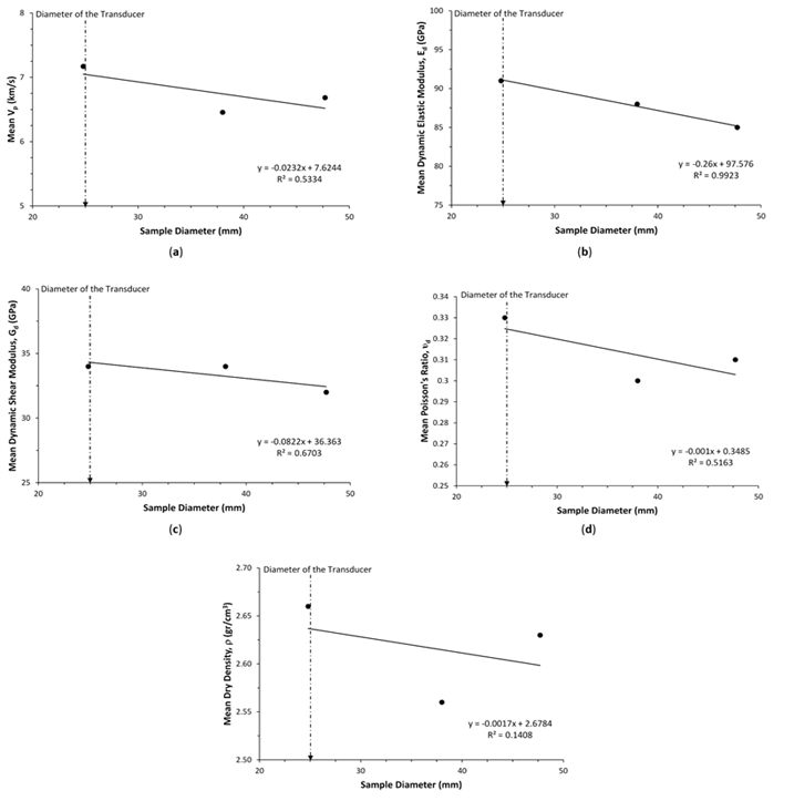
The respective relations between the sample diameter and the mean Vp, the mean Ed, the mean Gd, the mean υd and the mean ρ are shown in Fig. 5a, b, c, d, e. Fig. 5a, c and d indicate that there is a weak correlation between the sample diameter and the mean Vp, the mean Gd, the mean υd. Fig. 5b indicative of very strong relationships between the sample diameter and the mean Ed. Fig. 5e illustrates that there is a very weak correlation between the sample diameter and the mean ρ of the samples.

Table-1. Physical and mechanical properties of Upper Dammam limestone

  Sample No.
ρ (gr/cm3)
SV (km/s)
υd
Ed (GPa)
Gd (GPa)
Vp
Vs
Mean D1-UD
2.66
7.2
3.5
0.33
91
34
D1.5-UD
2.56
6.5
3.4
0.3
88
34
D2-UD
2.63
6.7
3
0.31
85
32
Max. D1-UD
2.71
10
4.3
0.39
138
50
D1.5-UD
2.73
10
5.8
0.37
227
92
D2-UD
2.73
7.7
4.5
0.35
140
57
Min. D1-UD
2.59
5.5
2.8
0.25
57
22
D1.5-UD
2.41
3.7
2
0.22
35
10
D2-UD
2.56
3.8
2.3
0.15
35
14

ρ dry density, SV sonic wave velocities (Vp and Vs), d dynamic Poisson ratio, Ed dynamic elastic modulus, Gd dynamic shear modulus, D1 1 inch (25.6  mm) diameter, D1.5 1.5 inch (38.1 mm) diameter, D2 2inch (50.1 mm) diameter, UD Upper Dammam

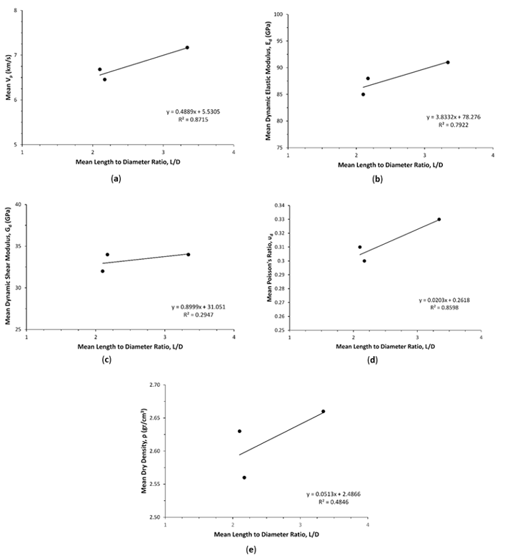
Figure 6a, b, c, d, e plot the mean length to diameter ratio, L/D against the mean Vp, the mean Ed, the mean Gd, the mean υd and the mean ρ for the samples. Fig. 6a, b and d show that there is a strong correlation between the mean length to diameter ratio, L/D and the mean Vp, the mean Ed, the mean υd. Fig. 6c, e demonstrates that there is a very weak to weak correlation between the mean length to diameter ratio, L/D and the mean Gd and the mean ρ.

5. CONCLUSIONS

This study revealed that there is a strong relationship between the sample diameter and the mean Ed, but the correlation between the sample diameter and the mean Vp, the mean Gd, the mean υd, the mean ρ is weak to very weak. In general, as the sample diameter increases the mean Vp, mean Ed, mean Gd, mean υd and mean ρ decrease (Fig. 5a, b, c, d, e). Also, there is a strong correlation between the mean length to diameter ratio, L/D and the mean Vp, mean Ed, mean υd, but the correlation between the mean length to diameter ratio, L/D and the mean Gd, mean ρ is very weak to weak. Consequently, while the length to diameter ratio, L/D increases the mean Vp, mean Ed, mean Gd, mean υd and mean ρ increase, too (Fig. 6a, b, c, d, e).  Accordingly, Vp, Ed, Gd, υd and ρ of Upper Dammam limestone can be estimated using the simple linear mathematical equations provided by this study. This will certainly be very useful and practical in any geotechnical and mining engineering applications either through, in or on the Upper Dammam limestone. However, it still required testing more limestone samples with at least 2-3 different diameters to confirm that the provided mathematical equations are valid and satisfactory to be used in designing engineering structures with confident.

Fig-5. Sample diameter vs. (a) the mean Vp (b) the mean Ed (c) the mean Gd (d) the mean υd (e) the mean ρ.

Fig-6. Mean length to diameter ratio, L/D vs. (a) the mean Vp (b) the mean Ed (c) the mean Gd (d) the mean υd (e) the mean ρ.

Funding: This study received no specific financial support.

Competing Interests: The authors declare that they have no competing interests.

Contributors/Acknowledgement: All authors contributed equally to the conception and design of the study. The investigators would like to express their sincere appreciation to the Research Affairs at the United Arab Emirates University for the financial support of this project under fund grant # SURE 2016 (6) and to the College of Science and Department of Geology for their valuable supports, which led to finalize this research work. In addition, we would like to specially thank Dr. Osman Abdelghany for his help and guidance during field study and Mr. Omer Basher for his assistance and cooperation in laboratory works.

 

REFERENCES

Anon, 1979a. Classification of rocks and soils for engineering geological mapping: Part 1-rock and soils materials. Bulletin of International Association of Geology, 19(1): 364–371. DOI http://dx.doi.org/10.1007/BF02600503.

Arman, H., A. Gabr, S. Hussein, S. Khosravi and S. Darwish, 2016. Characterization of chalky limestone from Jabal Hafeet, Al Ain, United Arab Emirates by sound velocity test to be used in different geotechnical and mining practices. 4th Fujairah International Forum for Industrial Rocks & Mining, Expo 2016, February 23-25, 2016, Fujairah, United Arab Emirates, 48.

Arman, H., W. Hashem, O. Abdelghany and A. Aldahan, 2013. On the accuracy of the in-situ Schmidt hammer test on carbonate rocks. Rock Mechanics for Resources, Energy and Environment: 189-193. DOI http://dx.doi.org/10.1201/b15683-30.

Arman, H., W. Hashem, M. El Tokhi, A. Osman and A. El Saiy, 2014. Petrographical and geomechanical properties of the lower oligocene limestones from Al Ain, United Arab Emirates. Arabian Journal for Science and Engineering, 39(1): 261-271.

ASTM Standard, 1978. Standard method for laboratory determination of pulse velocities and ultrasonic elastic constant of rocks. Annual Book of ASTM Standard, Part 19, D 2845-69: 356-363.

Blum, P., 1997. Physical properties handbook: A guide to the shipboard measurement of physical properties of deep-sea cores. ODP Tech, 26. DOI 10.2973/odp.tn.26.

Boukhary, M., O. Abdelghany and S. Bahr, 2002. Nummulites alsharhani n.sp. (Late Lutetian) from Jabal Hafit and Al Faiyah: Western side of the Northern Oman Mountains, United Arab Emirates. Revue Paleobiol, Geneve, 21(2): 575-585.

Boukhary, M., A. Gabr, O. Abdelghany, S. Bahr and Y. Kamel, 2005. Upper Eocence larger foraminifera from the Dammam Formation in the border region of United Arab Emirates and Oman. 4th Fujairah International Forum for Industrial Rocks & Mining, Expo 2016, February 23-25, 2016, Fujairah, United Arab Emirates, 491.

Brown, E.T., 1981. Rock characterization testing and monitoring. ISRM Suggested Methods for Determining Sound Velocity: 107-110.

Fener, M., 2011. The effect of rock sample dimension on the P-wave velocity. Journal of Non-Destructive Evaluation, 30(2): 99-105. DOI http://dx.doi.org/10.1007/s10921-011-0095-7.

Kahraman, S., 2001. A correlation between P-wave velocity, number of joints and Schmidt hammer rebound number. International Journal of Rock Mechanics and Mining Sciences, 38(5): 729-733. DOI http://dx.doi.org/10.1016/s1365-1609(01)00034-x.

Kahraman, S., 2002. Estimating the direct P-wave velocity value of intact rock from indirect laboratory measurements. International Journal of Rock Mechanics and Mining Sciences, 39(1): 101-104. DOI http://dx.doi.org/10.1016/s1365-1609(02)00005-9.

Kahraman, S., U. Ulker and M.S. Delibalta, 2007. A quality classification of building stones from P-wave velocity and its application to stone cutting with gang saws. Journal of the South African Institute of Mining and Metallurgy, 107: 427–430.

Kahraman, S. and T. Yeken, 2008. Determination of physical properties of carbonate rocks from P-wave velocity. Bulletin of Engineering Geology and Environment, 67(2): 277–281. DOI http://dx.doi.org/10.1007/s10064-008-0139-0.

Khandelwal, M. and P.G. Ranjith, 2010. Correlating index properties of rocks with P-wave measurements. Journal of Applied Geophysics, 71(1): 1-5. DOI http://dx.doi.org/10.1016/j.jappgeo.2010.01.007.

Kilic, O., 2006. The influence of high temperature on limestone P-wave velocity and Schmidt hammer strength. International Journal of Rock Mechanics and Mining Sciences, 43(6): 980-936. DOI http://dx.doi.org/10.1016/j.ijrmms.2005.12.013.

Mavko, G., 2001. Introduction to rock physics. Course notes. Spring quarter, Stanford Rock Physics Laboratory. pp: 73–112.
Parent, T., N. Domede, A. Sellier and L. Mouatt, 2015. Mechanical characterization of limestone from sound velocity measurement. International Journal of Rock Mechanics and Mining Sciences, 79: 149-156. DOI http://dx.doi.org/10.1016/j.ijrmms.2015.08.009.

Rahmouni, A., B. A., M. Boukalouch, Y. Géraud, A. Samaouali, M. Harnafi and J. Sebbani, 2013. Prediction of porosity and density of calcarenite rocks from P-wave velocity measurements. International Journal of Geosciences, 4(9): 1292-1293. DOI http://dx.doi.org/10.4236/ijg.2013.49124.

Sadeghi, H. and F. Khosravi, 2003. A study of the effect of wave velocity on solubility of limestone and chalk. In: Di, H., Bendette, H. Geoffroy, Doanh, T. and Sauzeat, C. (Ed.) Deformation characteristics of geometarial. London: Taylor and Francis. pp: 409–413.

Yasar, E. and Y. Erdogan, 2004. Correlating sound velocity with the density, compressive strength and young’s modulus of carbonate rocks. International Journal of Rock Mechanics and Mining Sciences, 41(5): 871-875. DOI http://dx.doi.org/10.1016/j.ijrmms.2004.01.012.

Zulfahmi, 2013. Study of compressional and shear wave velocity tests in the laboratory and field applied to sedimentary rocks of Rantau Nangka District, South Kalimantan. Indonesian Mining Journal, 16(2): 82-92.

Views and opinions expressed in this article are the views and opinions of the author(s), International Journal of Geography and Geology shall not be responsible or answerable for any loss, damage or liability etc. caused in relation to/arising out of the use of the content.